ЭГК интеграция
продукция для промышленной автоматизации
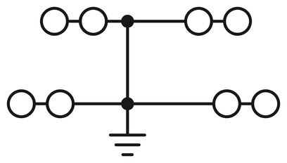
Двухъярусные клеммы, количество точек подсоединения: 8, тип подключения: Зажимы Push-in, 1. и 2-ий ярус, Расчетное сечение: 2,5 мм2, cечение: 0,14 мм2 - 4 мм2, тип монтажа: NS 35/7,5, NS 35/15, цвет: желто-зел.
Лепесток защитного проводника | есть |
Количество точек подключения на ярус | 4 |
Номинальное сечение | 2,5 мм² |
1. и 2-ий ярус | |
Длина оголяемой части | 8 мм ... 10 мм |
Калиберная пробка | A3 |
Подключение согласно стандарту | МЭК 60947-7-1 |
Сечение жесткого провода | 0,14 мм² ... 4 мм² |
Сечение проводника AWG | 26 ... 12 (пересчитано согласно МЭК) |
Сечение гибкого провода | 0,14 мм² ... 4 мм² |
Сечение гибкого проводника [AWG] | 26 ... 14 (пересчитано согласно МЭК) |
Сечение гибкого проводника (с кабельным наконечником без пластиковой втулки) | 0,14 мм² ... 2,5 мм² |
Сечение гибкого проводника (с кабельным наконечником и пластиковой втулкой) | 0,14 мм² ... 2,5 мм² |
Максимальный ток нагрузки | при сечении жесткого провода 4 мм² |
Номинальное сечение | 2,5 мм² |